The space in between the stars that populate our Galaxy is not empty. It is filled with a tenuous medium of gas and dust particles. Tremendous progress has been achieved in understanding this interstellar dust thanks to telescopes on the ground and with satellites. However, still many properties remain to be discovered.
Scientists from the Netherlands Institute for Space Research (SRON), the Anton Pannekoek Institute for Astronomy (University of Amsterdam) and the Institute of Astronomy and Astrophysics of Taipei (ASIAA, Taiwan) notably used LUCIA beamline to get reference spectra of interstellar dust analogues. Comparing them to the telescopes and satellites measurements, those spectra helped them to interpret the data about interstellar dust.
The existence of the interstellar medium, a mix of gas and dust particles, was imagined already a long time ago. The first mention of it is attributed to Francis Beacon in 1626.
Astronomers did notice, with the advent of photography, that the sky was not indeed homogenous, but presented darker patches (Fig 1): dense clouds were obscuring the line of sight.
The solid dust grains present in the interstellar medium have the most fascinating origin, as they follow, for the vast majority, the life cycle of stars in our Galaxy. To start with, a star and the planets around it are formed by a collapsing cloud of gas and dust. When the star evolves toward the end of its life, it expels a good fraction of its mass in the surrounding medium, creating new material for dust formation. If the star ends its life with a supernova explosion, it will enormously enrich the environment with even more gas and dust. This in turn will eventually constitute new building blocks for stars and planets. As Carl Sagan said: “we are made of stardust”.

Figure 1: Barnard 59 dark nebula. This is a set of dust lanes which obscure the light of the stars behind it.
Credit: Richard Hook/ESO https://www.eso.org/public/news/eso1233/
In the last thirty years, tremendous progress has been achieved in understanding this important component of the interstellar medium. Interstellar dust has been observed both with telescopes on the ground and with satellites, allowing to understand its multi-wavelength (from radio frequencies up to X-rays) properties. The light of a background star will be partly absorbed by the intervening dust. Depending on the chemical composition of the dust, different absorption and emission lines will be observed against a star spectrum. Thanks to these observations we now know that interstellar dust grains are made mainly by carbon, oxygen, iron, magnesium and silicon. Dust grains are tiny. Their average size is 0.1 micron.
However, still many properties remain to be discovered and this is where the X-rays come into play. Imagine the Galaxy to be the ultimate synchrotron facility, where the X-rays are provided from a star, and the X-ray instruments on board of the satellite are the receiving end of a beamline. The dust along the line of sight will produce a transmission spectrum. The shape of the features will diagnose the chemistry and physical properties of the intervening dust.
In astronomy we consider the X-ray band to cover approximately from 0.5 to 10 keV. In this lucky situation, the K-edge absorption edges of the main players of interstellar dust chemistry fall in this band. In order to interpret the astrophysical data, we need templates of what interstellar dust analogues would look like when subjected to X-rays, produced by a synchrotron radiation source for instance.
In the last years, the team of scientists has produced a data base of absorption edges of twenty most likely compounds forming the interstellar dust (mostly oxides and silicates). To get the Mg, Al, and Si K-edges they measured the fluorescence spectra of those 3 elements at LUCIA beamline, cf fig.2.

Figure 2: Measurements of the X-ray absorption at the Si K-edge (at LUCIA beamline). The x-axis shows the energy in angstrom and the y-axis shows the amount of absorption in Mb per Si atom. Each compound gives a unique spectrum. Note the difference between crystalline and amorphous samples (e.g. sample 5 and 6), where in the case of the amorphous samples the X-ray absorption pattern changes due to the absence of the crystalline structure.
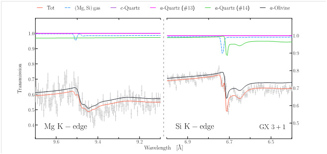
This was the first time that the complex Mg and Si K edges observed in the astronomical data could be modeled with meaningful dust models (Fig. 3). The Mg and Si features are tracers of interstellar dust in dense media, as is the environment in and around the center of our Galaxy. Therefore, choosing background X-ray sources in that region allows the scientists to probe the dust nature also in a region with active star formation, subjected to turbulent event and frequent remixing.

Figure 3: Mg and Si K-edges detected in the spectrum of the bright X-ray source GX 3+1. Intervening interstellar dust, in particular amorphous olivine (black line), is the main contributor to the shape of both the absorption edges.
What they found is reassuring and surprising at the same time. Olivine is a very common compound, which dominates the observed spectrum. This is confirmed also by observations at longer wavelengths. However, crystallinity of dust, considered to be hard to find in all diffuse dust in the Galaxy, but in particular near its center, seems to be not that rare after all (>10%, depending on the line of sight). The lines of sight observed are they special, with freshly produced dust? Or rather are the X-rays able to detect crystallinity thanks to its sensitivity to long range interaction? In other words, grains in crystals may be able to shield themselves from the harsh environment, perhaps thanks to an amorphous silicate coating.
Investigating a sample of light sources allowed the scientists to determine also that dust properties (chemistry, particle size) do not change dramatically from one line of sight to the other, implying that mixing of dust is extremely efficient in a region of about 10 million light years in radius.
These and other results using the LUCIA measurements are published in four papers (plus two under revision).