L'électronique moléculaire permet le développement d’applications révolutionnaires pour les panneaux photovoltaïques, l'éclairage, les écrans, les capteurs, l’électronique flexible… Elle vise à proposer une alternative aux circuits en silicium conventionnels, qui ont atteint leurs limites de miniaturisation. Son principe : utiliser des « Légo® » moléculaires qui s'auto-assemblent en domaines assurant le transport des charges électriques – la taille des composants électroniques est ainsi drastiquement réduite.
Pour suivre à l’échelle nanométrique la synthèse de tels dispositifs et les caractériser, la diffusion X aux grands angles à incidence rasante (GIWAXS), mise en œuvre sur la ligne SIRIUS, apparaît comme une technique d’analyse de référence.
Les dispositifs électroniques sont traditionnellement fabriqués par une succession de techniques complexes et coûteuses, au cours desquelles le circuit électronique est créé sur un wafer constitué de pur matériau semi-conducteur. Les limites en termes de taille minimale atteintes par cette approche top-down sont dépassées par une approche bottom-up, comme celle utilisée en électronique moléculaire consistant à construire les composants molécule par molécule. L’électronique supramoléculaire, quant à elle, fait le lien entre l’électronique moléculaire et les dispositifs gravés. Elle permet notamment l'interconnexion d'éléments de circuits nano- ou microélectroniques grâce à des polymères supramoléculaires constitués d’une longue chaîne de molécules organiques auto-assemblées. Ces polymères dits « 1D » (une dimension) sont synthétisés par électropolymérisation in situ entre microélectrodes pour conduire à la formation de nanofils extrêmement fins. Le processus doit être contrôlé très précisément, car l’efficacité de l’ensemble du dispositif dépend non seulement de la structure des briques moléculaires assemblées dans le nanofil, mais aussi de leur orientation et de leur alignement sur des distances de l’ordre du micromètre.
Mais la plupart des techniques d'analyse ne permettent pas d'accéder avec une grande finesse aux caractéristiques structurales et d'orientation de ces nanofils dans les circuits électroniques à cette échelle.
Toutes les informations captées en un cliché unique
Les techniques de diffusion des rayons X peuvent donner accès à l’organisation des matériaux jusqu’à l’échelle atomique. Cependant, étudier uniquement quelques nanofils placés dans un circuit électronique est complexe, d’une part en raison de la très faible quantité de matière et donc de la très faible intensité du signal mesuré, d’autre part à cause de la géométrie du dispositif : dans le cas de ces travaux, les microélectrodes obstruent la trajectoire du faisceau de rayons X gênant la mesure.
Pour surmonter ces obstacles, des chercheurs de l’Institut Charles Sadron (Strasbourg), de l’Institut de Physique et Chimie des Matériaux (Strasbourg) et de la ligne SIRIUS à SOLEIL ont mis au point un montage expérimental permettant l’analyse GIWAXS de la morphologie entière de circuits électroniques organiques : ici, des nanofils constitués de triarylamine (TAA) — une famille de molécules présentant d'excellentes propriétés semi-conductrices électroniques et photoniques — qui s’assemblent directement entre les électrodes par un processus d'électropolymérisation supramoléculaire. Ils ont ainsi pu, en un seul cliché, déterminer la structure des nanofils interconnectant les microélectrodes, ainsi que leurs paramètres d'ordre orientationnel 3D (montrant que les nanofils croissent tous parallèlement au plan du substrat) et 2D (dans le plan, les nanofils s’alignent perpendiculairement aux microélectrodes). Cet alignement se produit avec une longueur de cohérence de plus de 100 nm, représentant plus de 200 molécules le long de l'axe long du nanofil.

Figure 1 :
En haut à gauche : Structure moléculaire d’une molécule de TAA1.
En haut, au centre : mécanisme de polymérisation supramoléculaire du TAA1 par un processus d'oxydation/nucléation/ croissance.
En bas : Montage expérimental pour les mesures GIWAXS sur SIRIUS ; entre les électrodes, représentées en jaune (largeur 10 µm ; hauteur 100 nm ; espacement de 10 µm) se trouvent les nanofils de TAA (en rouge) qui s’allongent in situ. Les angles ∅ et β définissent la désorientation de l'axe long d'un nanofil respectivement par rapport au plan du substrat et à la normale aux électrodes.
Les résultats obtenus apportent des informations inaccessibles par les autres techniques d’analyse rapportées dans la littérature, comme par exemple l'ensemble des paramètres de maille cristalline et la modélisation de l'organisation moléculaire, bien que les nanofils ne puissent être sondés que dans une seule orientation du dispositif électronique miniature, en raison de l'obstruction du faisceau par les microélectrodes.
Tous les paramètres déterminés grâce à ces mesures sont d'une importance cruciale pour étudier précisément les relations structure – fonction dans les dispositifs électroniques organiques.
Ce travail démontre le grand potentiel de la technique GIWAXS en tant que méthode de référence pour la caractérisation complète des processus de nanocâblage avec polymères supramoléculaires et auto-assemblages intégrés dans des géométries de dispositifs complexes.

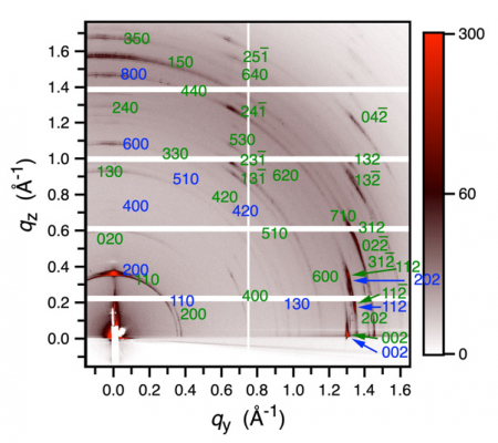
Figure 2 : Spectre GIWAXS avec le faisceau incident de rayons X aligné parallèlement aux électrodes (ω=0). L'indexation indique deux orientations préférentielles principales (en vert et en bleu) de la structure (cellule monoclinique : a=33.7(3) Å; b=21.0(6) Å; c=9.7(0) Å; α=94.(5)°; β=γ=90°).