L’élaboration de matériaux structurés à l’échelle nanométrique par auto-assemblage de briques moléculaires est un enjeu scientifique majeur répondant à de nombreuses demandes sociétales contemporaines. Ces composés mettent en jeu des combinaisons d’interactions variées pouvant conduire à l’émergence de structurations voire de fonctionnalités inédites. Malheureusement, leur caractérisation est souvent limitée en raison de leur complexité structurelle.
Dans ce cadre, des chercheurs de l’IPCM (Sorbonne Université) et de l’ENS Lyon, avec l’aide de la ligne SWING, ont caractérisé par diffusion des rayons aux petits angles des nanomatériaux composites multi-échelles inédits, à base de polyoxométallates (POMs).
La conception rationnelle d’assemblages nanostructurés à base de POMs, oxydes moléculaires nanométriques, en tant que briques élémentaires fonctionnelles, est particulièrement attractive en raison de leurs multiples propriétés (redox notamment) et champs d’applications. Toutefois leur synthèse reste un défi important, en raison du caractère multi-chargé des POMs.
Des chercheurs de l’IPCM ont développé des hybrides covalents à base de POMs et utilisé la fonction organique greffée sur la charpente inorganique pour initier des réactions d’auto-assemblages. Pour ce faire, des POMs hybrides présentant des groupes chélatants de géométrie prédéfinie sont associés à des cations métalliques possédant des sites de coordination vacants adaptés. Du fait de la grande variété des complexes métalliques et de la réversibilité des liaisons métal-ligand, la chimie de coordination est un outil de choix pour l’élaboration de systèmes auto-assemblés. Cette approche permet le contrôle de la dimensionnalité des assemblages par un design approprié du POM hybride.
En raison de la taille des assemblages formés, allant du nanomètre à quelques centaines de nanomètres, de nouvelles méthodes de caractérisation de ces composés ont du être mises en œuvre. Parmi celles-ci, la diffusion des rayons X aux petits angles (SAXS), disponible sur la ligne SWING, est une technique expérimentale de choix puisqu’elle permet d’étudier les propriétés structurelles de nanomatériaux entre 1 et 100 nm. Cette technique a permis de caractériser avec précision différents types d’auto-assemblage par coordination dirigée d’hybrides à base de POMs.
Un premier assemblage a été développé à partir d’un hybride ditopique (présentant deux fonctions chélatantes). Suite à sa réaction avec un complexe assembleur neutre, le trans-[Pd(MeCN)2Cl2], une unique espèce discrète se forme. Cet assemblage, un triangle moléculaire, a été caractérisé par combinaison de différentes techniques d’analyse, telles que la RMN diffusionelle (DOSY) et la spectrométrie de masse à mobilité ionique, ainsi que par modélisation moléculaire (Figure 1).
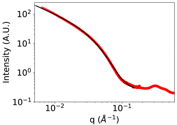
Le signal SAXS des triangles moléculaires a pu être fidèlement reproduit à partir des coordonnées atomiques d’une structure optimisée par modélisation moléculaire, validant ainsi la pertinence de cette technique pour caractériser de tels assemblages.

Figure 1 : Formation de l’auto-assemblage triangulaire à partir de l’hybride ditopique présentant deux fonctions pyridine (pyr), et illustration des différentes techniques d’analyse de l’auto-assemblage. Le spectre SAXS rouge correspond au signal expérimental de l’auto-assemblage, le spectre noir correspond au signal théorique (CRYSOL) de la structure optimisée du triangle moléculaire.
Par la suite, l’étude de la complexation d’un POM hybride analogue présentant deux fonctions terpyridine (tpy) par des complexes assembleurs cationiques divalents, tels que le Fe(II) ou le Co(II), a montré que les polygones moléculaires formés (mélange de triangles et carrés moléculaires) étaient quant à eux susceptibles de s’agréger par interactions électrostatiques en fonction de la nature du solvant, et de former ainsi des architectures moléculaires multi-échelles inédites. L’agrégation des métallomacrocycles résulte de la compétition entre leur énergie de solvatation et celle de leurs interactions électrostatiques intermoléculaires. Enfin, la forme de ces assemblages hiérarchiques a pu être modifiée en jouant sur l’état redox du cation métallique assembleur, modifiant ainsi les interactions électrostatiques entre assemblages supramoléculaires primaires (Figure 2).

Figure 2 : Représentation schématique de la formation d’auto-assemblages hiérarchiques par coordination dirigée à partir d’un hybride présentant deux fonctions terpyridine, selon la nature du solvant et de l’état redox du cation métallique assembleur (cobalt).
Alors que les assemblages hiérarchiques possédant des cations assembleurs divalents sont des particules isotropes d’environ 4 nm de rayon (caractérisés par SAXS et TEM), ceux formés à partir des complexes trivalents se présentent sous forme de particules allongées et flexibles de 6,5 à 7 nm de section résultant de l’agrégation selon une direction préférentielle des métallomacrocyles discrets (Figure 3).

Figure 3 : Comparaison du signal SAXS expérimental des assemblages vermiculaires dans un mélange DMSO/MeCN 1/4 (courbe rouge) avec le signal théorique (obtenu à partir du logiciel SASview) en utilisant un modèle de cylindre flexible de 3.4 nm de rayon (polydispersité 35 %, courbe noire).
Ces assemblages vermiculaires sont sélectivement obtenus en milieux aqueux, quel que soit l’état redox du cation assembleur. Ces composés présentent un caractère amphiphile et conduisent, en milieu aqueux, à l’encapsulation de composés polyaromatiques entièrement insolubles dans l’eau, ouvrant la voie vers de potentielles applications au transport de molécules d’intérêt biologique.
Tout au long de ces travaux, le SAXS a été utilisé avec succès pour caractériser les édifices supramoléculaires, permettant l’élucidation d’une grande variété de structures allant du POM unique vers de larges édifices agrégés en passant par les assemblages discrets (polygones moléculaires).